近年来,受上游来沙减少、水流条件变化及河床冲淤格局调整等多重因素影响,长江中下游河段崩岸、局部冲刷等问题日益突出。抛石护岸作为长江下游岸坡防护的重要工程措施,在防冲护岸、稳定河势方面发挥着关键作用,但其附近河床局部绕流冲刷机理复杂,稳定性问题仍缺乏系统深入研究。项目基于数值模拟与水槽试验,揭示了抛石护岸河床水动力特征及泥沙输移特性,量化了不同抛石护岸布置方式下的河床局部冲刷响应;建立了非平稳Lévy随机游走模型与非对称非局部输沙模型,揭示了不同时间与空间尺度下的推移质反常输移动力学机制和悬移质次扩散与超扩散的共存机制,提出了抛石护岸工程下区域河床稳定性指标。依托该项目,共发表论文3篇,其中SCI检索2篇,申请发明专利1项,授权软件著作权3项,培养硕士研究生1名,参加学术会议5人次,申请江苏省自然科学基金1项。研究成果为抛石护岸结构优化设计、风险评估及运行期维护提供了理论依据和技术路径。(水下检测中心供稿)
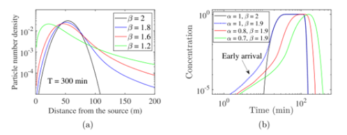
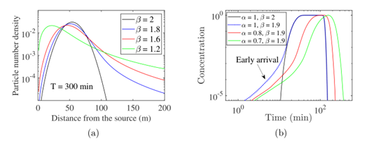
图1 基于宏观混合模型模拟抛石护岸条件下的推移质含沙量分布
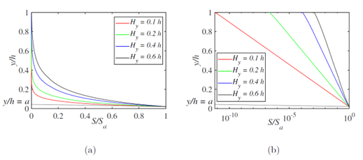
图2 不同影响域范围下悬移质归一化浓度S/Sa的分布情况


